• Предмет: Алгебра
  • Автор: alyonaantipova2003
  • Вопрос задан 3 года назад

ПОЖАЛУЙСТА ПОМОГИТЕ!!!!!!!!!!
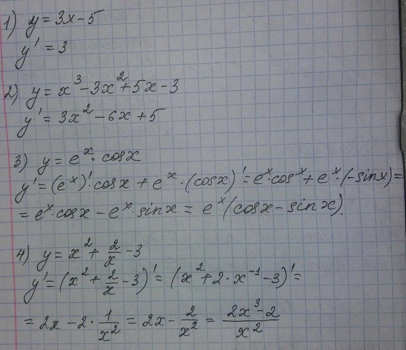
Найти производные функции: 1) y=3x-5 2) y=x^3-3x^2+5x-3 3) y=e^x * cosx 4) y=x^2+2/x-3

Ответы

Ответ дал: emrakhovaa
3

ответ:

решение во вложении

Приложения:

Аноним: ты кто шлюшка?
Аноним: тебе делать нех?
emrakhovaa: молодой, выйди отсюда
Аноним: или нах
Вас заинтересует