• Предмет: Математика
  • Автор: viksan1303
  • Вопрос задан 3 года назад

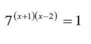
Хэлп! Решите уравнение

Приложения:

Ответы

Ответ дал: lakOR555
0

Ответ:

-1 и 2

Пошаговое объяснение:

единицу представить как 7⁰

(х+1)(х-2)=0

х=-1

х=2

Вас заинтересует