Ответы
Ответ дал:
3
Ответ:
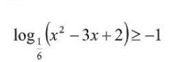
x∈[-1;1)∪(2;4]
Пошаговое объяснение:
**********
Приложения:

Вас заинтересует
2 года назад
2 года назад
2 года назад
7 лет назад
9 лет назад