ПОМОГИТЕ СРОЧНО, ПОЖАЛУЙСТА Даны векторы a (6; -3; 6) и b (4; -2; 5) Найти косинус угла между векторами 1/3b и 3a.
KirbKa2015:
Какая 3я координата у вектора b?
Ответы
Ответ дал:
1
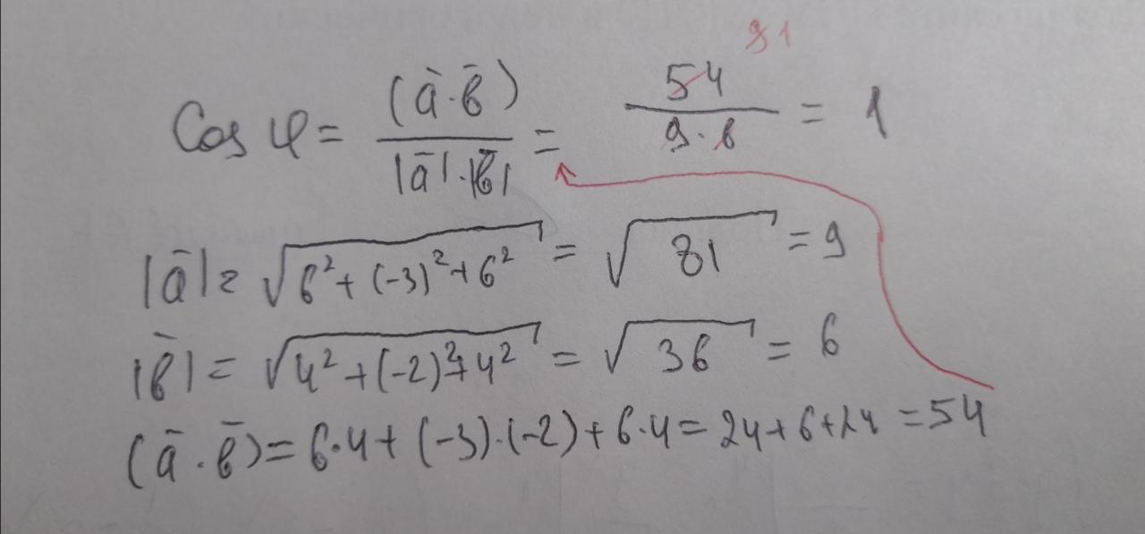
Ответ, как и решение, имеется на фото.
Если понадобятся пояснения, то можешь писать - отвечу.
Если решение понравится и окажется правильным (как скорее всего и будет), то не поленись поставить спасибо и оценку С:
Добра тебе!
Приложения:

Вас заинтересует
2 года назад
2 года назад
2 года назад
2 года назад
7 лет назад
7 лет назад
9 лет назад
9 лет назад