• Предмет: Математика
  • Автор: limon4ikpro1
  • Вопрос задан 3 года назад

Решите, пожайлуста(срочно)

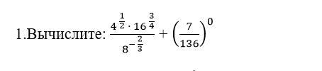
Приложения:

Ответы

Ответ дал: Evgenia4836
0

Ответ:

Пошаговое объяснение:

(2^2)^1/2 * (2^4)^3/4/ (2^3)^-2/3 + 1= (2^1*2^3)/2^-2 +1= 2^6+1= 65

Вас заинтересует