Ответы
Ответ дал:
0
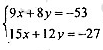
Домножим первое уравнение на -15, а второе на 9 , получим

сложим
сложим
Ответ дал:
0
смотря какие числа
Ответ дал:
0
тебе надо сделать так, что бы при сложении двух уравнений, одна переменная сократилась
Ответ дал:
0
метод подстановки - это когда ты из одного уравнения выражаешь одну переменную через другую и подставляешь полученное выражение в другое уравнение )))
т.е.
второе уравнение можем смело разделить на 3, что бы упростить себе жизнь
получится 5x + 4y = -9, отсюда выразим 4y
4y = -9 - 5x и подставим в первое уравнение
9x + 2*4y = -53
9x + 2(-9 - 5x) = -53
9x - 18 - 10x = -53
x = 35
4y = -9 - 5*35 = -184
y = -46
т.е.
второе уравнение можем смело разделить на 3, что бы упростить себе жизнь
получится 5x + 4y = -9, отсюда выразим 4y
4y = -9 - 5x и подставим в первое уравнение
9x + 2*4y = -53
9x + 2(-9 - 5x) = -53
9x - 18 - 10x = -53
x = 35
4y = -9 - 5*35 = -184
y = -46
Вас заинтересует
3 года назад
8 лет назад
8 лет назад
11 лет назад
11 лет назад
11 лет назад