22 б +
11 баллов за лучший
ПОМОГИТЕ решить??(как положено с решением и.т.д)
Тема легкая!
степень с рациональным показателем.
№1
напишите выражения в виде корня
1)
2).
№2
напишите корни в виде степени с рациональным показателем
1)![sqrt[15]{ x^{-8} } sqrt[15]{ x^{-8} }](https://tex.z-dn.net/?f=+sqrt%5B15%5D%7B+x%5E%7B-8%7D+%7D+)
2)![sqrt[8]{ 5^{3} } sqrt[8]{ 5^{3} }](https://tex.z-dn.net/?f=+sqrt%5B8%5D%7B+5%5E%7B3%7D+%7D+)
№3
найдите значения выражения
1)
2)
3)
4)
Ответы
Ответ дал:
0
Добавил файл.....................................
Приложения:
Ответ дал:
0
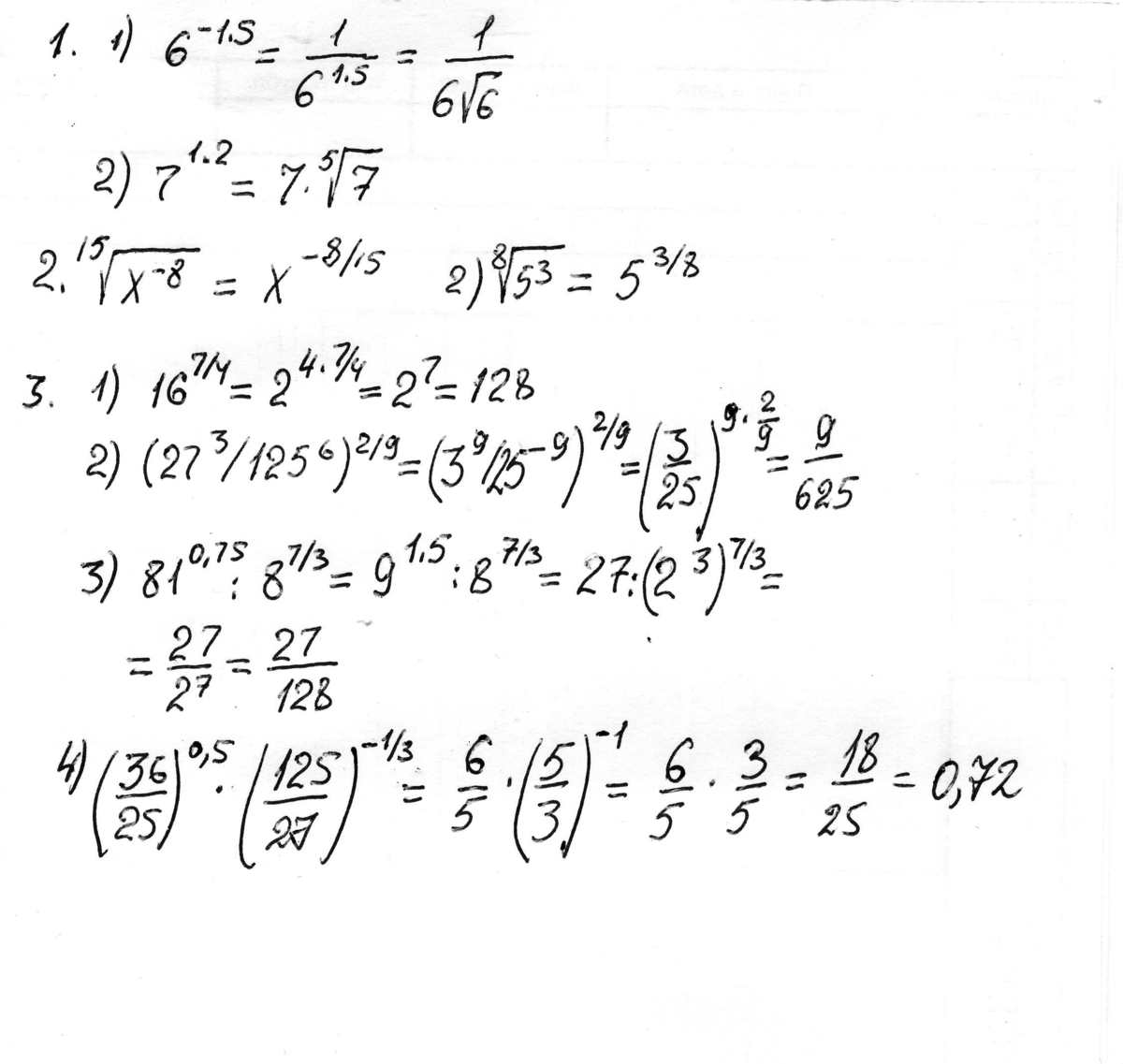
№1
1)1/6^3/2=1/
2)7^6/5=![sqrt[5]{7^6} sqrt[5]{7^6}](https://tex.z-dn.net/?f=+sqrt%5B5%5D%7B7%5E6%7D+)
№2
1)x^-8/15
2)5^3/8
№3
1)(2^4)^7/4=2^7=128
2)(3^9/5^18)^2/9=3^2*5^4=9*625=5625
3)(3^4)^0,75:(2^3)^7/3=3^3:2^7=27:128=27/128
4)((6/5)^2)^0,5*((5/3)^3)^-1/3=6/5*(5/3)^-1=6/5*3/5=18/25
1)1/6^3/2=1/
2)7^6/5=
№2
1)x^-8/15
2)5^3/8
№3
1)(2^4)^7/4=2^7=128
2)(3^9/5^18)^2/9=3^2*5^4=9*625=5625
3)(3^4)^0,75:(2^3)^7/3=3^3:2^7=27:128=27/128
4)((6/5)^2)^0,5*((5/3)^3)^-1/3=6/5*(5/3)^-1=6/5*3/5=18/25
Приложения:
Вас заинтересует
3 года назад
3 года назад
8 лет назад
8 лет назад
11 лет назад
11 лет назад
11 лет назад