• Предмет: Математика
  • Автор: kristikz97
  • Вопрос задан 3 года назад

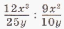
Помогите пожалуйста,Выполнить действия, если значения всех переменных - натуральные числа

Приложения:

Ответы

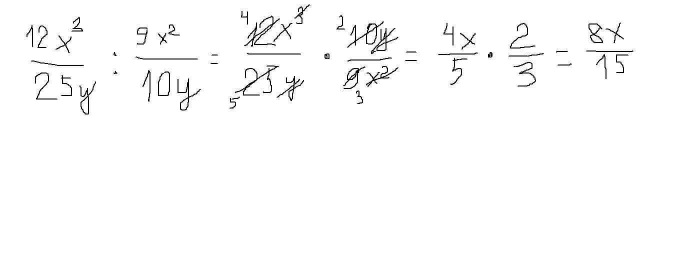
Ответ дал: vladrov
1

Ответ:

Пошаговое объяснение:

Приложения:
Вас заинтересует