• Предмет: Алгебра
  • Автор: elenagrekova6565
  • Вопрос задан 3 года назад

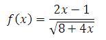
Помогите пожалуйста Найти область определения выражения

Приложения:

Ответы

Ответ дал: PiperSniper
1

Во-первых, знаменатель не равен нулю. Во-вторых, значение под корнем строго больше нуля (нулю оно не равно, так как корень в знаменателе). Отсюда получаем, что:

8+4x>0

4x>-8

x>-2

Ответ: x>-2

Вас заинтересует