Ответы
Ответ дал:
0
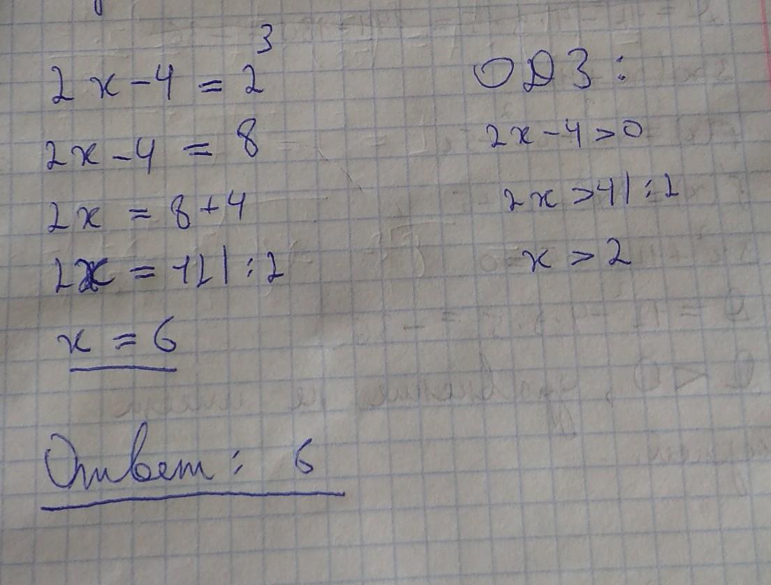
log₂ (2x - 4)= 3.
ОДЗ: 2x - 4 > 0;
2x > 4;
x > 2.
2³= 2x - 4;
2x - 4 = 8;
2x= 12;
x= 6.
Ответ: 6.
Ответ дал:
1
Ответ:
6
Пошаговое объяснение:
Показано на фотографии
Приложения:

Вас заинтересует
2 года назад
2 года назад
2 года назад
2 года назад
7 лет назад
9 лет назад