• Предмет: Алгебра
  • Автор: mracnynil
  • Вопрос задан 3 года назад

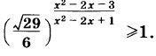
20Б Решите неравенство

Приложения:

Ответы

Ответ дал: Evgenia4836
1

Ответ:

Объяснение:

ОДЗ: x≠1

\frac{x^2-2x-3}{x^2-2x+1}\leq 0

x²-3x+x-3= x(x-3)+(x-3)= (x+1)(x-3)

(x+1)(x-3)/(x-1)²≤0

методом интервалов: x∈[-1;1)∪(1;3]

Вас заинтересует