• Предмет: Математика
  • Автор: yulkamit212
  • Вопрос задан 3 года назад

Ребята срочно помоги

Приложения:

Ответы

Ответ дал: table123
0

Ответ:

Пошаговое объяснение:

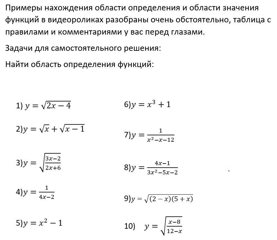
1)  видим, что график проходит через т. (1;-1),  подставим,

-1=к/1,  к=-1

на область опр-я,

1) 2x-4>=0,  2x>=4,  x>=2

2)x>=0 и  x-1>=0,  отв.x>=1

3) (-Б;-3)  и [2/3;+Б)

4) 4х-2  не =0,  4х не =2,  х не=1/2,  отв.  (-Б;1/2) и (1/2;+Б)

5) и6) отв. (-Б;+Б)

----- d^2=4mg/Q*П,  d=под корнем  стоит 4mg/QП

Вас заинтересует