• Предмет: Алгебра
  • Автор: vityamath
  • Вопрос задан 3 года назад

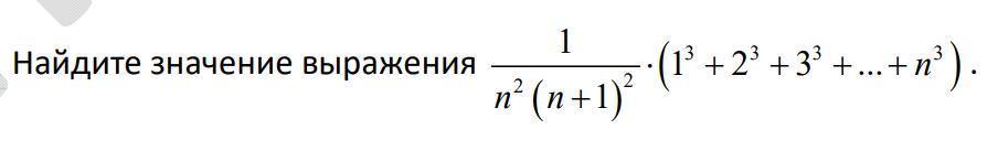
Найдите значения выражения . Сразу говорю: Ниже статуса почетного грамотея не заходить , это не простое задание ....

Приложения:

au456: Одна четверть - чего сложного то - по индукции стандартным способом ))
vityamath: а что здесь делать надо хотя бы
vityamath: это 9 класс
au456: Доказывать тут надо - методом математической индукции ))
kama56293: К сожалению тут не все грамотеи
kama56293: Да и в 10-11 классе сложнее будет
Aspirant2022: Всем привет

Ответы

Ответ дал: GluV
1

Ответ:

\frac{1}{4}

Объяснение:

Сумма кубов натуральных чисел от 1 до n равна \frac{n^{2} (n+1)^{2} }{4}

Формулы для суммы степеней натуральных чисел получаются следующим способом. Покажем это  на примере суммы квадратов

\sum\limits^n_1 {((i+1)^{3}-i^{3})} =  (n+1)^{3}-1\\\sum\limits^n_1 {(3i^{2}+3i+1)}=(n+1)^{3}-1\\\sum\limits^n_1 {3i^{2}}=(n+1)^{3}-1+\sum\limits^n_1(3i+1)

\sum\limits^n_1 {i^{2}}=\frac{n*(n+1)(2n+1)}{6}

Для вывода формулы суммы кубов используется следующее соотношение

\sum\limits^n_1 {((i+1)^{4}-i^{4})} =  (n+1)^{4}-1

Раскрываем скобки под знаком суммы и выражаем сумму кубов через сумму второй, первой и нулевой степени i.


vityamath: это 9 класс
au456: Не - ну так не пойдет - причем тут квадраты то - если в задании кубы ??
au456: По индукции ж в одну строчку сумма кубов доказывается ))
au456: Другое дело что 9 класс и индукцию скорее всего не обьяснеюяли. )) Ну тут уж ничего не поделаешь ))
kama56293: Вот это верно,другое дело бы,если бы это был бы 10-11,вот тогда бы была бы жопа,а не 5-9
Вас заинтересует