• Предмет: Математика
  • Автор: EQUMSmoKe
  • Вопрос задан 3 года назад

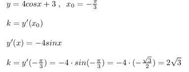
Найти угловой коэффициент касательной к графику функции у=4cosx+3, проведённой в точке графика с абсциссой X0= -(Пи/3)

Ответы

Ответ дал: nikitafrolov909090
1

Ответ:

На картинке

Пошаговое объяснение:

Приложения:
Вас заинтересует