• Предмет: Математика
  • Автор: Leragtty
  • Вопрос задан 3 года назад

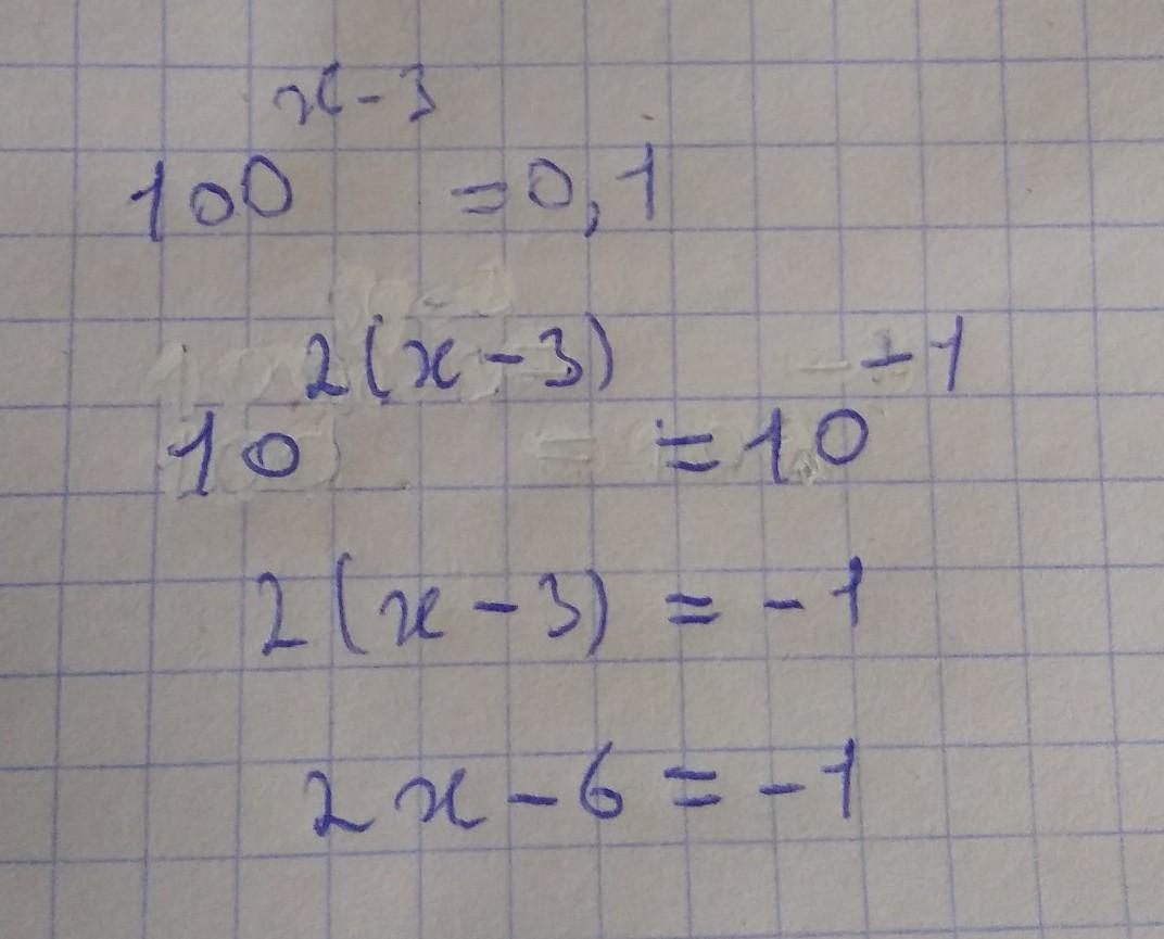
Решите уравнение 100^(x-3)=0,1

Ответы

Ответ дал: dimauchenik654454
0

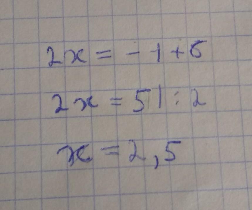
Ответ:

2,5

Пошаговое объяснение:

Решение на двух фото.

Приложения:
Ответ дал: vityamath
0

Ответ:

Пошаговое объяснение:

100^(x-3)=0.1

10^(2x-6)=10^-1

Основания равны, поэтому:

2x-6=-1

2x-6+1=0

2x-5=0

2x=5

x=2.5

Вас заинтересует