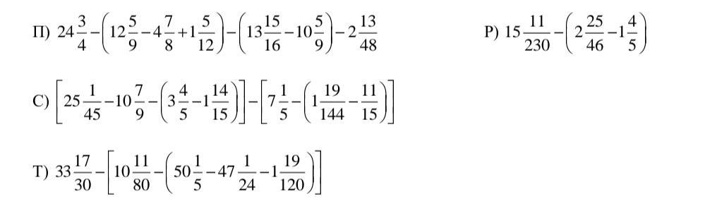
Решите пж. Очень надо. Одно условие можно побыстрей?
Приложения:

maryamasetova:
Это какой класс?
Ответы
Ответ дал:
1
Ответ:
я досконально не описывал.
Пошаговое объяснение:
Приложения:

Вас заинтересует
2 года назад
2 года назад
2 года назад
7 лет назад
7 лет назад
9 лет назад