• Предмет: Математика
  • Автор: maksimkapanin228
  • Вопрос задан 3 года назад

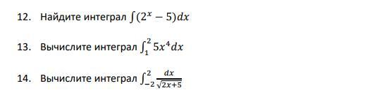
Вычисление интегралов 10-11 класс, кто знает хоть 1 задание с решением очень нужно

Приложения:

Ответы

Ответ дал: table123
1

Ответ:

Пошаговое объяснение:

12) =2^x /ln2 -5x+c

13) =5x^5/5 !(1;2)=x^5 !(1;2)=2^5-1^5=32-1=31

14) = корень V(2x+5) !(-2;2)=V(4+5) -V(-4+5)=V9-V1=3-1=2


maksimkapanin228: Что значит восклицательный знак? Как его на листе записать?
maksimkapanin228: Вообще не понимаю как на листе оформить
Вас заинтересует