• Предмет: Геометрия
  • Автор: shahzod77
  • Вопрос задан 3 года назад

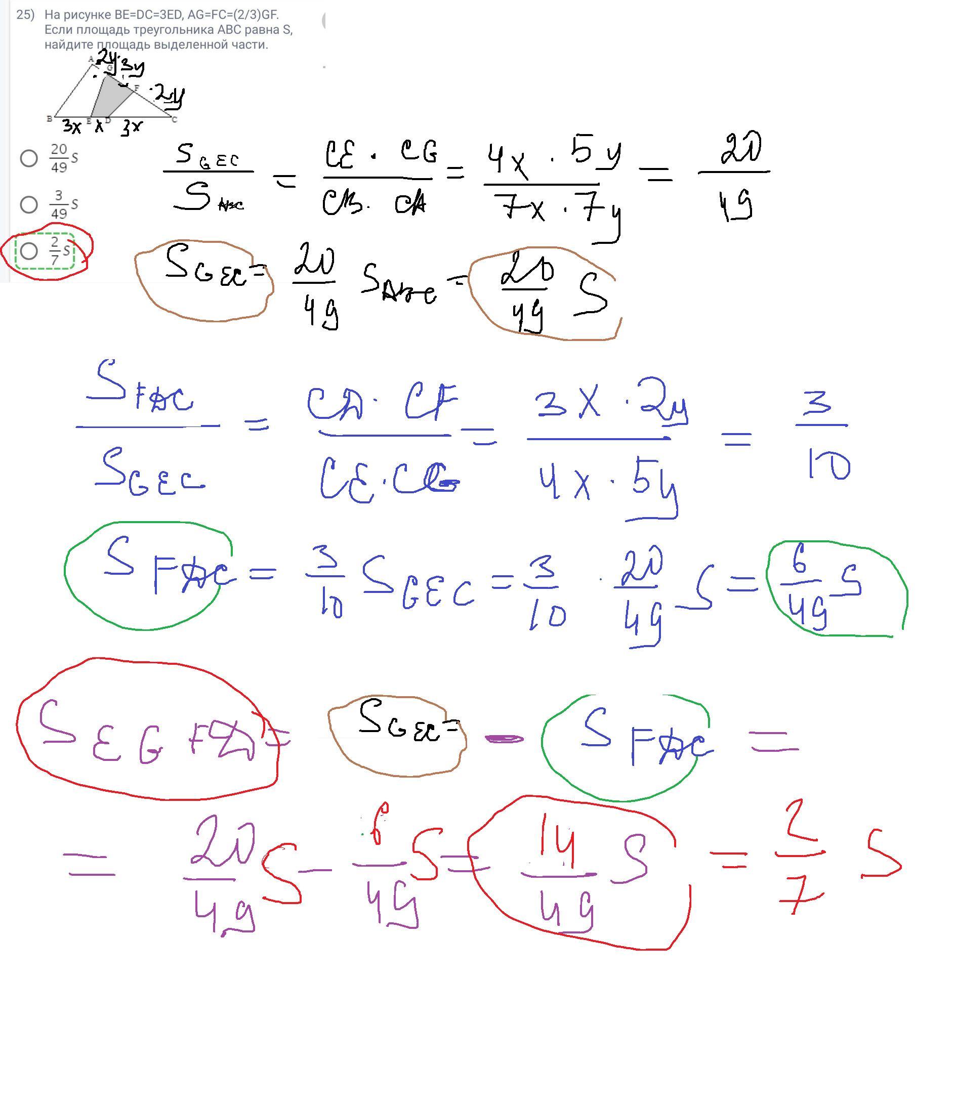
На рисунке BE=DC=3ED, AG=FC=(2/3)GF. Если площадь треугольника ABC равна S, найдите площадь выделенной части. (правильный ответ отмечен, мне нужно объяснение)

Приложения:

Simba2017: FС у вас сколько?
shahzod77: 2/7 AC
shahzod77: DC= 3/7 BC
Simba2017: верно
shahzod77: Спасибо еще раз, не могли бы вы подсказать как можно удалить задачу?
Simba2017: текст задания смените на просьбу удалить задание
Simba2017: уже поздно, дан ответ
Simba2017: но с ошибкой
shahzod77: Пока с Вами решала, не заметила)
Simba2017: только что появился

Ответы

Ответ дал: vikll
0

Ответ:

Объяснение:На рисунке BE=DC=3ED,

Приложения:
Вас заинтересует