• Предмет: Математика
  • Автор: coolwhite52
  • Вопрос задан 3 года назад

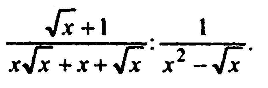
По какому принципу мы умножаем на (sqrt (x) - 1) в первом действии?

Приложения:

Ответы

Ответ дал: MegaZanuda
1

Ответ:

чтобы одну дробь разделить на другую, нужно эту дробь умножить на дробь обратную делителю

Вас заинтересует