• Предмет: Математика
  • Автор: romanmoiseev01
  • Вопрос задан 3 года назад

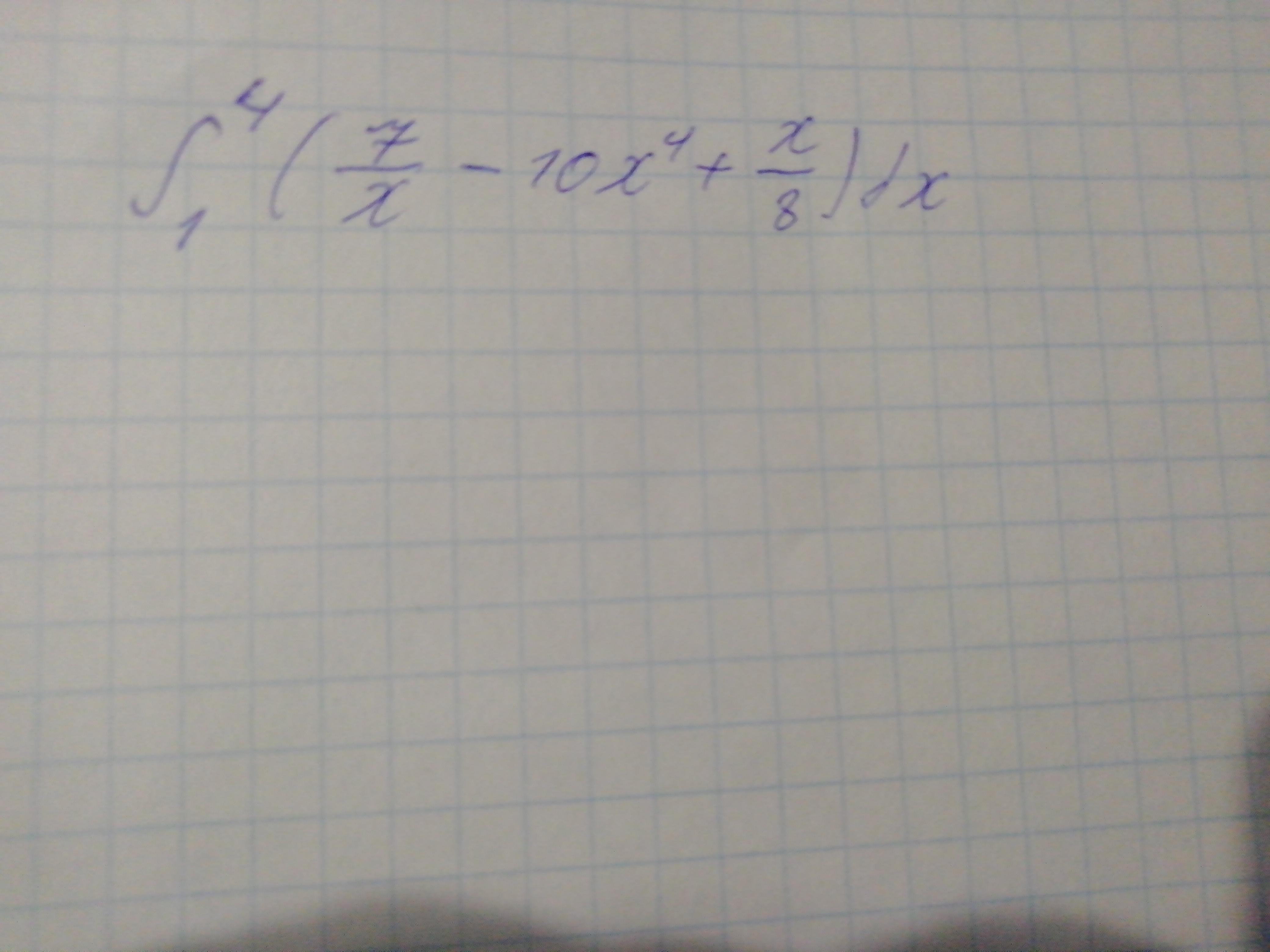
Найти определённый интеграл

Приложения:

Ответы

Ответ дал: Аноним
0

Ответ:

\int\limits^4_1 \, (\frac{7}{x}-10x^{4} +\frac{x}{8} )dx \\\\=-10\int\limits^4_1\,x^{4} dx +\frac{1}{8} \int\limits^4_1 \,x dx+7 \int\limits^4_1\, \frac{2}{x} dx \\\\=(-2x^{5} )\int\limits^a_b {x} \, dx+\frac{1}{8} \int\limits^4_1\,xdx+7 \int\limits^4_1\,\frac{1}{x}  dx \\\\=-2046+\frac{1}{8} \int\limits^4_1xdx+7\int\limits^4_1\, \frac{1}{x} dx \\\\=-2046+\frac{x^{2} }{16} \int\limits^4_1+7\int\limits^4_1 {x} \, \frac{1}{x} dx \\\\=-\frac{32721}{16} +7\int\limits^4_1\,\frac{1}{x}  dx

=-\frac{32721}{16} +7logx\int\limits^4_1\\\\=7log4-\frac{32721}{16}

Вас заинтересует