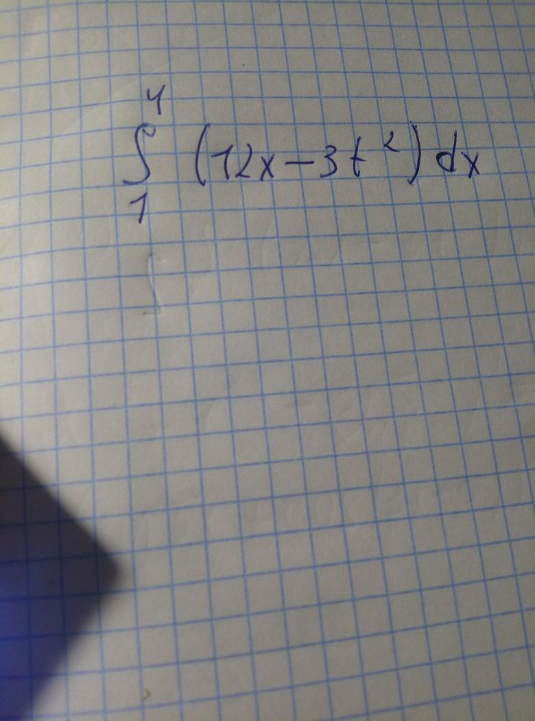
Помогите пожалуйста вычисть
Приложения:

dimauchenik654454:
-3t в квадрате??
Ответы
Ответ дал:
0
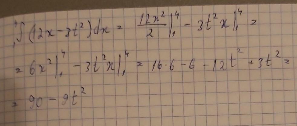
Ответ:
90 - 9t^2
Пошаговое объяснение:
Так как интегрирование идет по иксу, то к t относимся как к обычной константе.
Приложения:

Ответ дал:
0
Пошаговое объяснение:
Всё зависит от параметра t. Но я вам помогу.
однако мне кажется что там было не dx, а dxdt. Если да, то напишите мне в инстаграм. с удовольствием отвечу:)
Приложения:

Вас заинтересует
2 года назад
2 года назад
2 года назад
2 года назад
7 лет назад
7 лет назад
9 лет назад
9 лет назад