Ответы
Ответ дал:
1
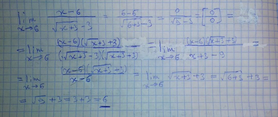
Ответ:
6
Пошаговое объяснение:
Решение на фото.
Приложения:

Вас заинтересует
2 года назад
2 года назад
2 года назад
7 лет назад