• Предмет: Математика
  • Автор: bee77
  • Вопрос задан 3 года назад

помогите пожалуйста , полный ответ

Приложения:

Ответы

Ответ дал: Аноним
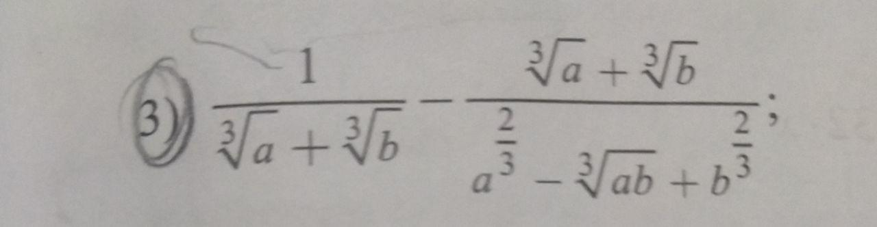
1

(1/(∛a+∛b))-((∛a+∛b)/(∛a²-∛ab+∛b²))=

(∛a²-∛ab+∛b²-(∛a+∛b)²)/(a+b)=(∛a²-∛ab+∛b²-∛a²-∛b²-∛(ab))/(a+b)=

-2∛(ab/(a+b))


Аноним: там машинально нажал на двойку, а она на клаве рядом с тройкой. ответ -3∛(ab/(a+b))
bee77: ясно
Ответ дал: zinaidazina
1

   \frac{1}{\sqrt[3]{a}+\sqrt[3]{b}}-\frac{\sqrt[3]{a}+\sqrt[3]{b}}{a^{\frac{2}{3}}-\sqrt[3]{ab}+b^{\frac{2}{3}}}=

=\frac{1*(a^{\frac{2}{3}}-\sqrt[3]{ab}+b^{\frac{2}{3}})-(\sqrt[3]{a}+\sqrt[3]{b} )(\sqrt[3]{a}+\sqrt[3]{b})}{(\sqrt[3]{a}+\sqrt[3]{b})*(a^{\frac{2}{3}}-\sqrt[3]{ab}+b^{\frac{2}{3}})}=

=\frac{a^{\frac{2}{3}}-\sqrt[3]{ab}+b^{\frac{2}{3}}-(a^{\frac{2}{3}}+2\sqrt[3]{ab}+b^{\frac{2}{3}})}{a+b}=

=\frac{a^{\frac{2}{3}}-\sqrt[3]{ab}+b^{\frac{2}{3}}-a^{\frac{2}{3}}-2\sqrt[3]{ab}-b^{\frac{2}{3}}}{a+b}=

=\frac{-3\sqrt[3]{ab}}{a+b} =-\frac{3\sqrt[3]{ab}}{a+b}


bee77: спасибо)
Вас заинтересует