• Предмет: Математика
  • Автор: tolikbar2309
  • Вопрос задан 3 года назад

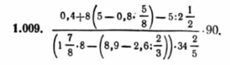
Помогите пожалуйста буду очень рад и блогадарен

Приложения:

Ответы

Ответ дал: Adzuno
2

ответ: 9

1) решение числителя

2) решение знаменателя

3) окончательные вычисления

Приложения:
Ответ дал: Олеся9006
2

Ответ:решение на фото внизу

Пошаговое объяснение:

Приложения:
Вас заинтересует