• Предмет: Математика
  • Автор: acircle
  • Вопрос задан 3 года назад

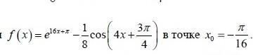
Решите, пожалуйста: Найти производную функции в точке (прикрепил задание картинкой)

Приложения:

Ответы

Ответ дал: nubpolymaster
1

f'=16e^{16x+pi}+1/2*sin(4x+3pi/4)\\f'(x_0)=16\frac{1}{2}


acircle: Можете объяснить почему там 1/2, у меня получалась 1/8
tamarabernukho: 1/8 *4=1/2
Вас заинтересует