• Предмет: Алгебра
  • Автор: raferd
  • Вопрос задан 3 года назад

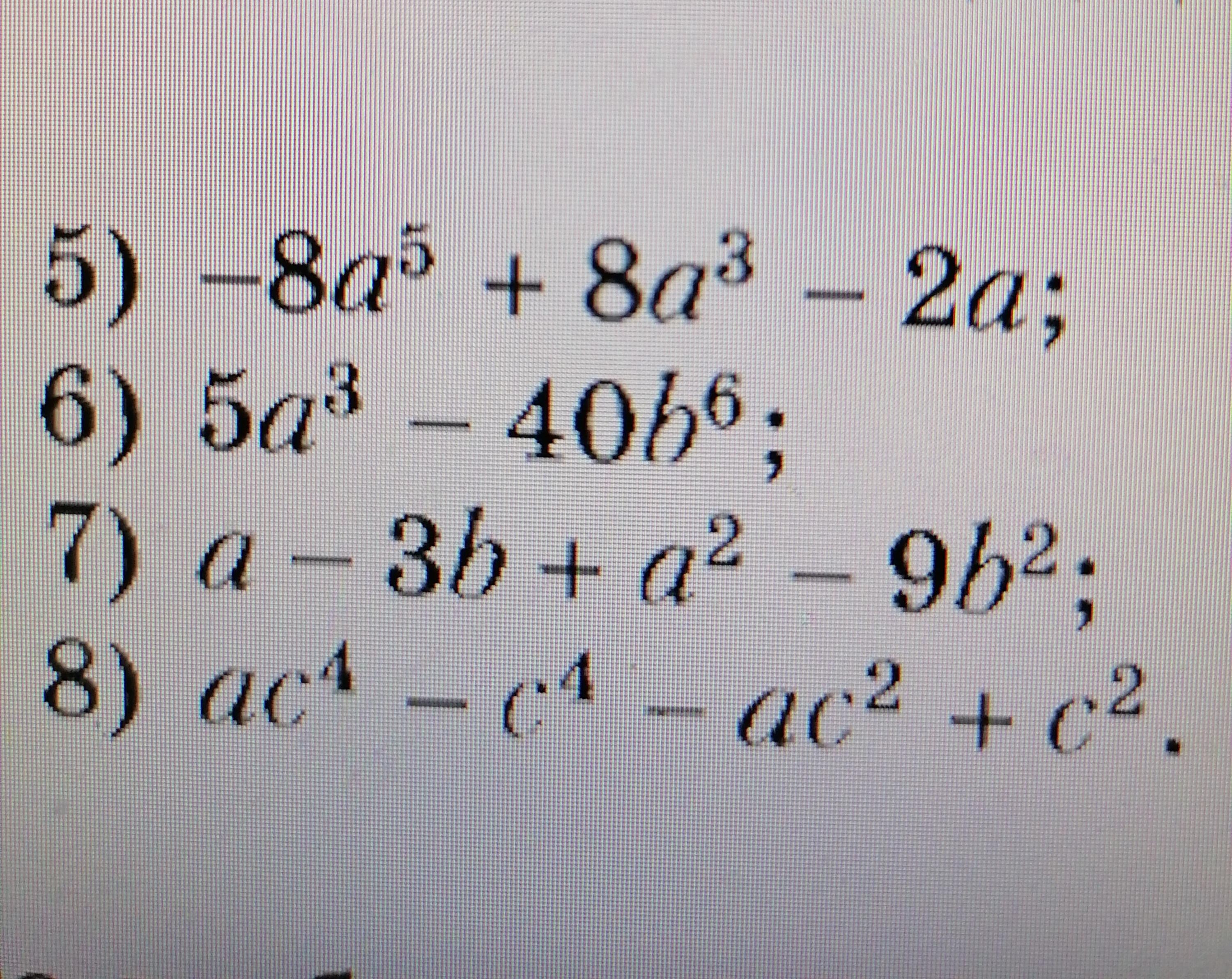
Разложите на множители!

Приложения:

Ответы

Ответ дал: Аноним
2

5) -8a⁵+8a³-2a=-2a(4a⁴-4a²+1)=-2a(2a²-1)²=2a(√2a-1)²(√2a+1)²

6) 5a³-40b⁶=5(a³-8b⁶)=5(a-2b²)(a²+2ab²+4b⁴)=

5(√a-√2b)(√a+√2b)(a²+2ab²+4b⁴)

7) a-3b+a²-9b²=(a-3b)+(a-3b)(a+3b)=(a-3b)*(1+a+3b)

8) ac⁴-c⁴-ac²+c²=c⁴*(а-1)-c²(а-1)=(а-1)с²(с²-1)=(а-1)с²(с-1)*(с+1)

Вас заинтересует