• Предмет: Алгебра
  • Автор: Vladocik2017
  • Вопрос задан 3 года назад

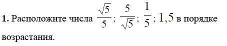
ПОМОГИТЕ ПОЖАЛУЙСТА!

Приложения:

Ответы

Ответ дал: valeria6498
1

Ответ:

 \frac{1}{5} . \frac{ \sqrt{5} }{5} .1.5. \frac{5}{ \sqrt{5} }

Ответ дал: Аноним
0

1/5=√1/25=√0.04

√5/5=√1/5=√0.2

1.5=√2.25

5/√5=√5

Ответ 1/5; √5/5; 1.5; 5/√5

Вас заинтересует