• Предмет: Алгебра
  • Автор: bogd244
  • Вопрос задан 3 года назад

Решите и объясните пожалуйста.

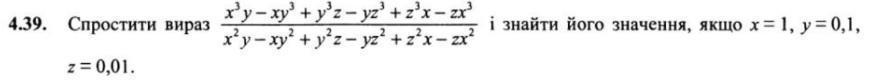
Приложения:

Ответы

Ответ дал: lidiasaraa3
0

Відповідь:1,11

.............

Приложения:
Вас заинтересует