• Предмет: Алгебра
  • Автор: vvvjjj84
  • Вопрос задан 3 года назад

Помогите пожалуйста выполнить задание даю 35 баллов

Приложения:

Ответы

Ответ дал: Mafa141
0

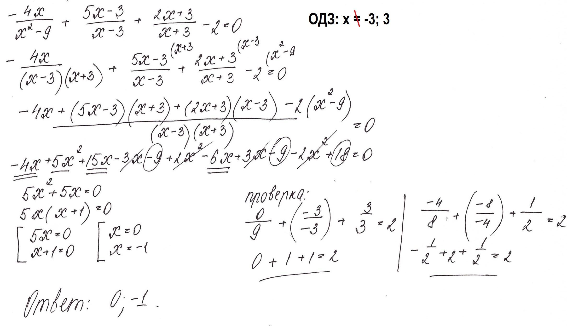
Ответ:

0; -1

Объяснение:

Решение во вложении:

Приложения:
Вас заинтересует