• Предмет: Алгебра
  • Автор: GidroMix
  • Вопрос задан 3 года назад

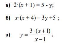
Постройте графики функций и описание к ним

Приложения:

Ответы

Ответ дал: natalyabryukhova
1

Ответ:

======================================

Объяснение:

Приложения:
Вас заинтересует