• Предмет: Физика
  • Автор: kamoptimus2007
  • Вопрос задан 3 года назад

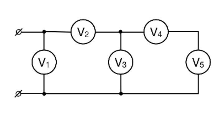
Помогите! Из одинаковых вольтметров собрана цепь, схема которой показана на рисунке. Известно, что у одного из приборов «сбита шкала», и его показания неверны. Показания вольтметров оказались следующие: U1=5 В, U2=4 В, U3=2 В, U4=1 В, U5=1 В. На сколько процентов отличается показание неисправного вольтметра от истинного значения? Ответ округлите до целого числа.

Помогите! Затупил на этой задаче. Если поможете, то буду очень благодарен.

Приложения:

Ответы

Ответ дал: Leon8634
8

Ответ:

33%

Объяснение:

Если рассуждать логически, то токи через вольтметры 4 и 5 одинаковы, так как они соединены последовательно, значит на их внутреннем сопротивлении падает одно и то же напряжение, что они успешно и показывают. Напряжение на вольтметре 3 равно сумме напряжений на вольтметрах 4 и 5, т.е. равно 2 В, это тоже верно. Теперь рассмотрим вольтметр 2. Ток через него по закону Ома равен (R - сопротивление вольтметра):

\displaystyle I_2=\frac{U_2}{R}=\frac{4}{R}

В то же самое время это ток должен разделится в узле на два тока:

\displaystyle I_2=I_3+I_{45}

Токи через вольтметры 3 и (4,5) (заведомо верные как мы показали выше):

\displaystyle I_3=\frac{2}{R}

\displaystyle I_{45}=I_4=I_5=\frac{1}{R}

Таким образом:

\displaystyle I_3+I_{45}=\frac{2}{R}+\frac{1}{R}=\frac{3}{R}

\displaystyle I_2\neq I_3+I_{45} - что противоречит первому закону Кирхгофа, значит истинное значение напряжения на 2-м вольтметре 3 В, относительная ошибка:

\displaystyle \delta=\frac{|U_3-U_3'|}{U_3} =\frac{|3-4|}{3}=0.33 или 33%.


kamoptimus2007: Спасибо! Я сам решил задачу, но немного другим способом. Но всё равно спасибо.
Leon8634: Не за что)
Вас заинтересует