Ответы
Ответ дал:
0
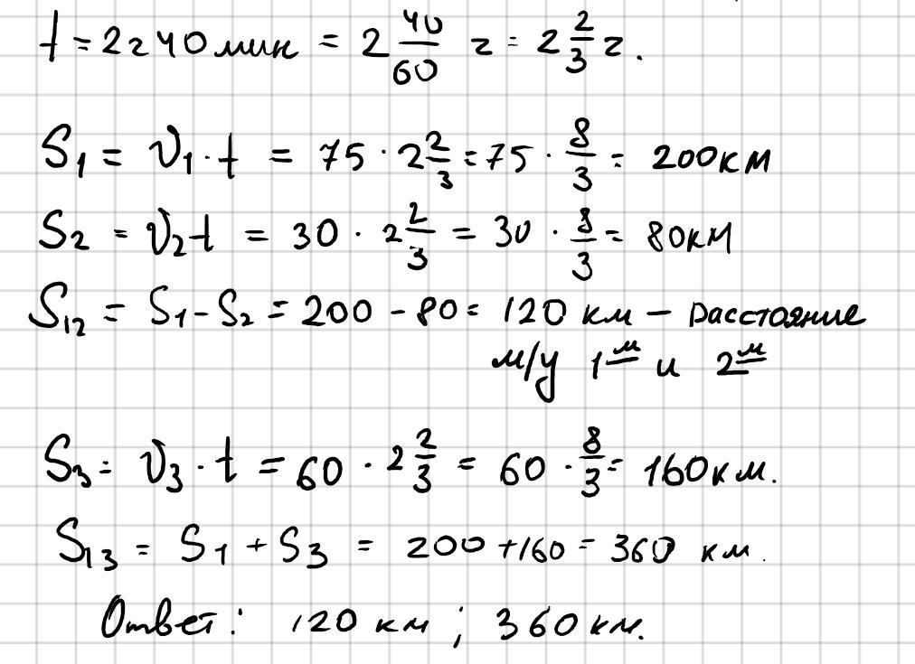
Ответ:
120 км, 360 км.
Объяснение:
Решение прикреплено
Приложения:

Вас заинтересует
2 года назад
2 года назад
2 года назад
2 года назад
7 лет назад
9 лет назад
9 лет назад