• Предмет: Математика
  • Автор: robo48
  • Вопрос задан 3 года назад

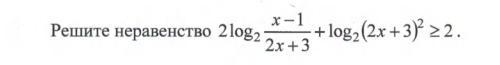
Решите неравенство 2log

Приложения:

Ответы

Ответ дал: natalyabryukhova
1

Ответ:

==========================

Пошаговое объяснение:

Приложения:
Вас заинтересует