• Предмет: Алгебра
  • Автор: lex7094
  • Вопрос задан 3 года назад

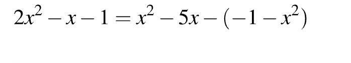
Най­ди­те ко­рень урав­не­ния. ОБЪЯСНИТЕ КАК ПРАВИЛЬНО РЕШАТЬ. ​

Приложения:

Ответы

Ответ дал: Azzaires
2

Раскрываем скобки в правой части:

2х² - х - 1 = х² - 5х + 1 + х²

Переносим все элементы из правой части в левую с противоположными знаками:

2х² - х - 1 - х² + 5х - 1 - х² = 0

Сокращаем и получаем линейное уравнение:

4х - 2 = 0

4х = 2

х = 0,5

Ответ: 0,5

Вас заинтересует