Ответы
Ответ дал:
0
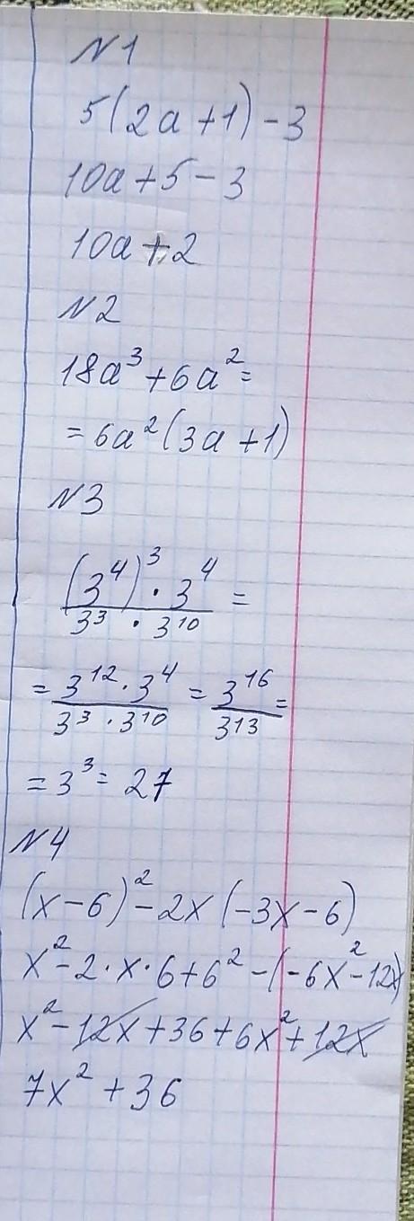
N1
10a+5-3=10a+2
N2
6a^2(3a+1)
N3
3^12×3^4/3^3×3^10=3^16÷3^13=3^3=27
N4
x^2-12x+36+6x^2+12x= 7x^2+36
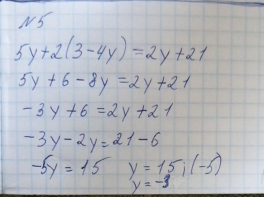
N5
5y+6-8y-2y-21=0
-5y=15
5y=-15
y=-3
Ответ дал:
0
Ответ:
В прикреплённом файле
Приложения:


Вас заинтересует
2 года назад
7 лет назад
7 лет назад
9 лет назад