• Предмет: Алгебра
  • Автор: ilyia772
  • Вопрос задан 3 года назад

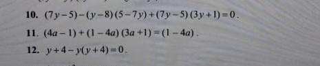
Задачи номер 10, 11, 12 Помогите пожалуйста ​

Приложения:

Ответы

Ответ дал: Аноним
1

10. перепишем вынеся минус з скобку  в первом произведении.

(7у-5)+(7у-5)(у-8)+(7у-5)(3у+1)=0

(7у-5)*(1+у-8+3у+1)=0

7у-5=0; 7у=5; у=5/7;

4у-6=0; у=6/4=3/2=1.5

11. (4а-1)(1-3а-1+1)=0; 4а=1;а =1/4; 3а=1;а =1/3

12. (у+4)-у*(у+4)=0

(у+4)*(у-1)=0

у+4=0; у=-4; у-1=0;у=1

Вас заинтересует