• Предмет: Математика
  • Автор: goduhinatana88
  • Вопрос задан 3 года назад

помогите плиззззззззз​

Приложения:

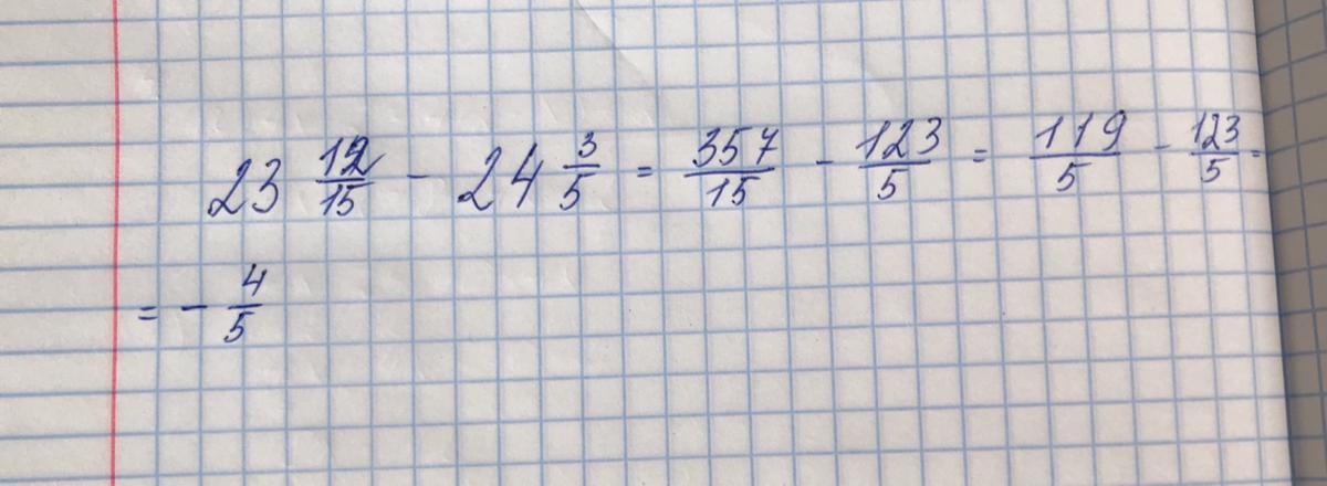
Ответы

Ответ дал: darinaaa07
2
Решение на фотографии.
Приложения:

goduhinatana88: спасибо
Ответ дал: gionak07
1

Ответ:

-4/5

Пошаговое объяснение:

23 12/15-24 3/5=

23 12/15--23 8/5=(12-24)/15=-12/15=-4/5

(-12/15 числитель и знаменатель сокращаем на 3 и получаем -4/5)


gionak07: И Вам спасибо!
Вас заинтересует