• Предмет: Физика
  • Автор: Perceivery
  • Вопрос задан 3 года назад

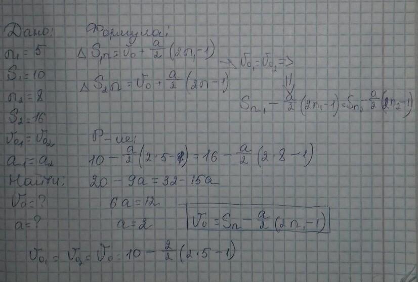
тело двигающееся равноускоренно с некоторой начальной скоростью за пятую секунду движения проходит путь 10 метров, а за восьмую секунду — путь 16 метров. Найдите начальную скорость и ускорение.


atamuradovaparvina: здраствуйте а у вас есть варианты ответов ? решила но сомневаюсь...
Perceivery: Привет. Есть ответы.
Ускорение = 2м/с^2
А V0 = 1м/с
atamuradovaparvina: упс у меня а=1.5=(
Perceivery: Можно глянуть решение? Я уже второй час сижу над этой задачей и даже не могу систему написать.
atamuradovaparvina: стоп стоп вышло 2 сейчас перепишу скину

Ответы

Ответ дал: atamuradovaparvina
1

Объяснение:

я изначально приравняла V0 так как тело одно значит и скорость и ускорение те же.

Приложения:

Perceivery: Что за формула пути с N?
atamuradovaparvina: Это формула пути за n- ую секунду.
Perceivery: Интересно. Спасибо)
atamuradovaparvina: всегда рада помочь)))
atamuradovaparvina: советую запомнить эту формулу. Эту формулу нам дала учительница. Но ни в каких справочниках этой формулы нет. Она такая формула палочка выручалочка
Perceivery: Да. Я вот тоже думаю, как-то не складывалось без нее у меня.
atamuradovaparvina: Очень рада если вы получили новую информацию и новую формулу))
atamuradovaparvina: это я подумала что вы под моим ответом написали и испугалась как неправильно :D
severovmd: Советую эту формулу выводить, так понятнее намного будет откуда она берётся. Ну можно конечно и тупо запомнить, но и как её выводить также не помешало бы запомнить - так как это важная часть любой формулы, знать откуда она берётся. А касательно справочников, то эта формула присутствует в справочниках по физике, не берусь за все справочники говорить, но у меня дома 2 справочника и в них есть эта формула.
Ответ дал: severovmd
3

Ответ:

Так как тело за 5-ую секунду проходит путь 10 метров, то есть тело в интервал с 4 секунд до 5 секунд проходит 10 метров.

Выразим этот путь через формулу зависимости перемещения при равноускоренном движении от времени (см. фото):

S=Vo*t+\frac{a*t^{2} }{2}-(Vo*(t-1)+ \frac{a*(t-1)^{2} }{2})\\=Vo*t+\frac{a*t^{2} }{2}-Vo*(t-1)- \frac{a*(t-1)^{2} }{2}=Vo*t+\frac{a*t^{2} }{2}-Vo*t+Vo*1- \frac{a*t^2-2*a*t+a*1^2 }{2}=Vo+\frac{a*t^{2}-(a*t^2-2*a*t+a*1^2)}{2} =Vo+\frac{a*t^{2}-a*t^2+2*a*t-a}{2}=Vo+\frac{2*a*t-a}{2} = Vo+\frac{a*(2*t-1)}{2}Где t - это 5 секунд или 8 секунд, а S - это 10 метров или соответственно 16 метров.

Составим систему уравнений из 2-ух уравнений и 2-ух не известных:

S1=Vo+\frac{a*(2*t1-1)}{2}

S2=Vo+\frac{a*(2*t2-1)}{2}

Vo там и там одинакова, так как начальная скорость не менялась, а ускорение, то есть a тоже там и там одинакова так как равноускоренное движение по условию.

S1=10 м; t1=5 c; S2=16 м; t2=8 c.

Подставим числовые значения и решим систему уравнений:

10=Vo+\frac{a*(2*5-1)}{2}

16=Vo+\frac{a*(2*8-1)}{2}

Выразим Vo из первого уравнения и подставим во второе уравнение:

-Vo=-10+\frac{a*(2*5-1)}{2}

Умножим обе части уравнения на (-1):

Vo=10-\frac{a*(2*5-1)}{2}

Vo=10-\frac{a*9}{2}

Подставим это во 2-ое уравнение и найдём ускорение (a):

16=Vo+\frac{a*(2*8-1)}{2}

16=10-\frac{a*9}{2}+\frac{a*15}{2}

16=10+\frac{-9*a+15*a}{2}=10+\frac{6*a}{2}=10+\frac{6}{2} *a=10+3*a16-10=3*a

6=3*a

a=\frac{6}{3}=2

То есть ускорение (a) равно 2 м/c^2.

Подставим это ускорение (a) в Vo=10-\frac{a*9}{2} и найдём начальную скорость Vo:

Vo=10-\frac{2*9}{2}=10-\frac{18}{2}=10-9=1

То есть начальная скорость (Vo) равно 1 м/c.

Ответ: тело двигалось с ускорением 2 м/c^2, и с начальной скоростью 1 м/c.

Объяснение:

Приложения:

severovmd: А какой ответ должен был быть?
atamuradovaparvina: a=2 V=1
Perceivery: а=2 м/с^2
v0=1 м/с
severovmd: Ну тогда получается тело проходить путь равный 30 метров за первые 5 секунд)
atamuradovaparvina: как же 30?
severovmd: s=Vo*t+(a*t^2)/2
atamuradovaparvina: но это формула не подходит. Есть формула за n-ую секунду движения. S (n)=Vo+a/2 (2n-1)
severovmd: Эта формула нужна когда мы ищем путь между интервалом 4-ой и 5-ой секунды. Тут же за эти N секунд тело всего прошло 10 м.
severovmd: Готово, исправил. Вы были правы, я не правильно понял условие, тело действительно в интервал с 4 секунд до 5 секунд прошлой 10 метров, а не за все 5 секунд 10 метров.
severovmd: И ещё, советую смотреть мои вычисления с компьютера либо с браузера на телефоне. Так как встроенная функция от znajia касательно формул каряво выглядит у длинных формул в приложении.
Вас заинтересует