• Предмет: Математика
  • Автор: fomindava08
  • Вопрос задан 3 года назад

помогитие решить ::((

Приложения:

Ответы

Ответ дал: lizapanzova2005
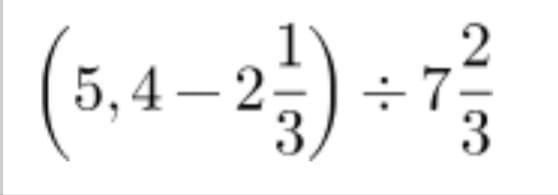
1

Ответ:

0,4

Пошаговое объяснение:

1) 5,4 - 2 1/3 = 54/10 - 2 1/3 = 162/30 - 70/30 = 92/30

2) 92/30 : 7 2/3 = 92/30 * 3/23 = 0,4


fomindava08: пасябки <:3
lizapanzova2005: Не за что)
Вас заинтересует