• Предмет: Математика
  • Автор: Bobfool
  • Вопрос задан 3 года назад

помогите пожалуйста срочно ​
(за photomath кидаю жалобу на ответ)

Приложения:

Ответы

Ответ дал: Tilen
2

Ответ:

Пошаговое объяснение:

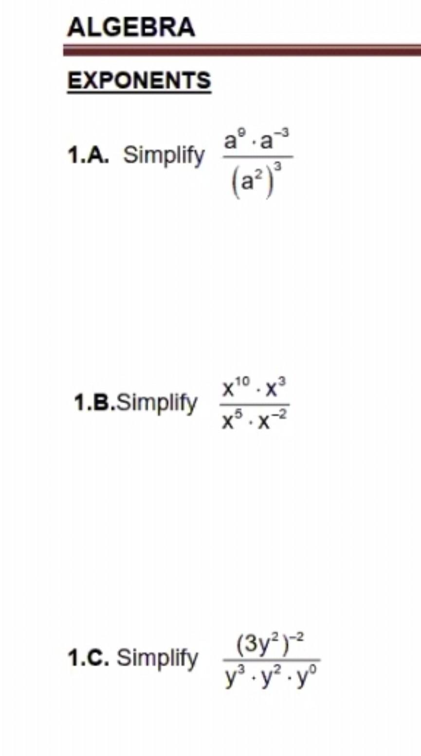
1. \frac{a^{9} }{a^{6}a^{3}  } =\frac{a^{9} }{a^{9} }=1

2. \frac{x^{10}x^{3} x^{2}  }{x^{5} } =\frac{x^{15} }{x^{5} } =x^{10}

3. \frac{1}{9y^{4}y^{3}y^{2} *1  } = \frac{1}{9y^{9} } = \frac{1}{9} y^{-9}

Вас заинтересует