• Предмет: Алгебра
  • Автор: timofejalekseev88
  • Вопрос задан 3 года назад

надо упростить уровнение​

Приложения:

Ответы

Ответ дал: lizziykup8
1

Ответ:

Во второй степени буду писать как в кв.

Объяснение:

(2х в кв. - 3у) в кв+(2х в кв. +3у) в кв. =4х-9у+4х+9у. Вроде так

Ответ дал: vareni4ka
1

Ответ:

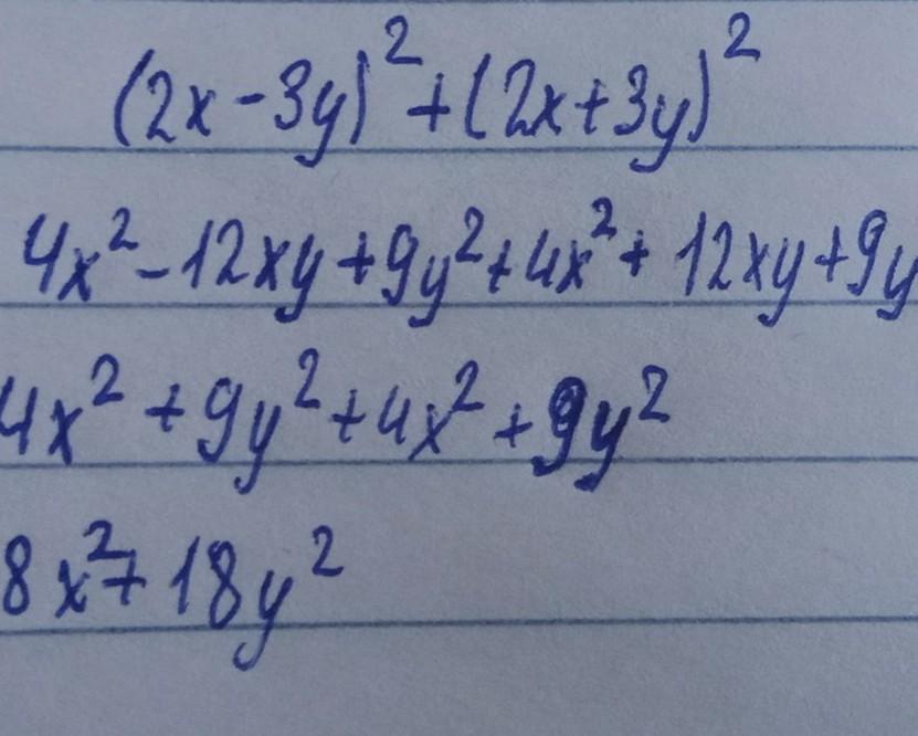
8x²+18y²

Объяснение:

4x²-12xy+9y²+4x²+9y²

4x²+9y²+4x²+9y²

Приложения:

timofejalekseev88: Спасибо
vareni4ka: можешь сделать как лучший ответ пожалуйста
timofejalekseev88: всё
vareni4ka: спасибо
Вас заинтересует