Найдите площадь фигуры S (в квадратных сантиметрах), изображенной на
клетчатой бумаге с размером клетки 1см х 1см (см. рис.). В ответе укажите
S
TT
Приложения:

orjabinina:
S(верхнего.п.круга белого)= π 1²=1 π
Ответы
Ответ дал:
2
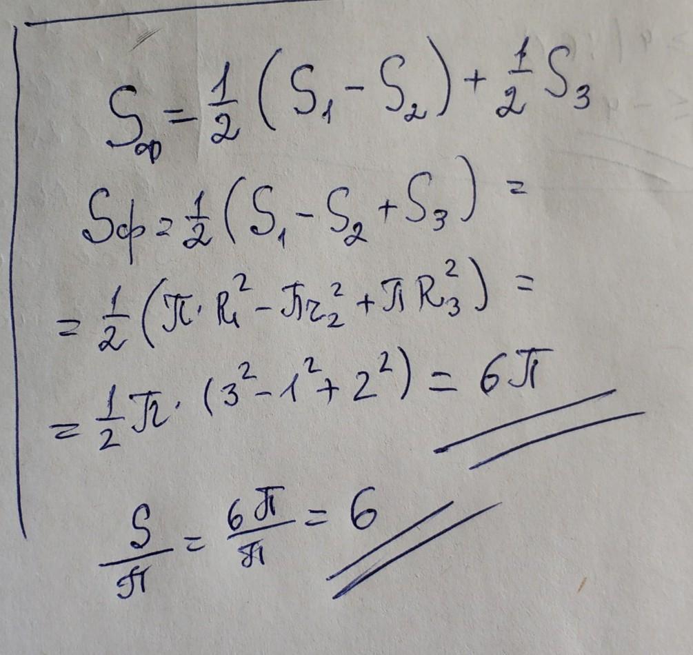
Ответ:
=6
Объяснение:
решение во вложении(два фото)
Приложения:


Вас заинтересует
2 года назад
2 года назад
2 года назад
7 лет назад
7 лет назад
9 лет назад
9 лет назад