• Предмет: Алгебра
  • Автор: romario7261
  • Вопрос задан 3 года назад

3x+x²=0
Помогите
буду благодарен ​

Ответы

Ответ дал: Koteiki007
0

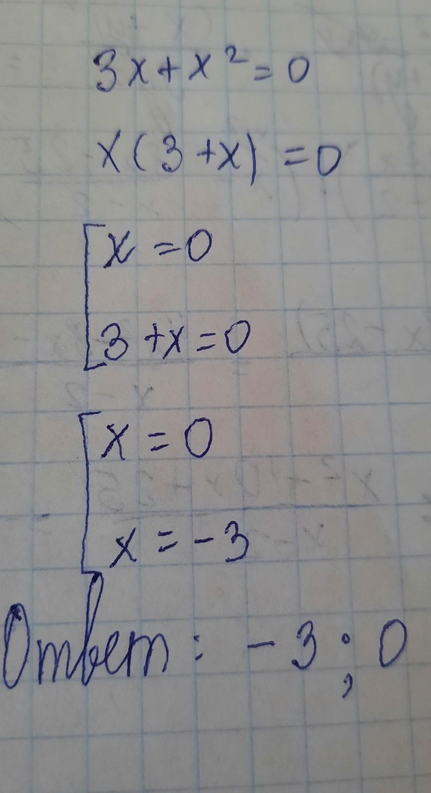
Ответ:

0;-3

Объяснение:

все на фотографии

Приложения:
Ответ дал: damir00318
0

Ответ:

0;-3

Объяснение:

3x+x²=0

x(3+x)=0

x1=0; 3+x=0

x2=-3

Вас заинтересует