• Предмет: Алгебра
  • Автор: idiatullinaaa15
  • Вопрос задан 3 года назад

решить неравенство |x^2+2x-4|>4​ .Даю 30 баллов

Ответы

Ответ дал: tamarabernukho
0

Ответ:

Объяснение:

********************************************

Приложения:
Ответ дал: shavrinatv
0

Ответ:

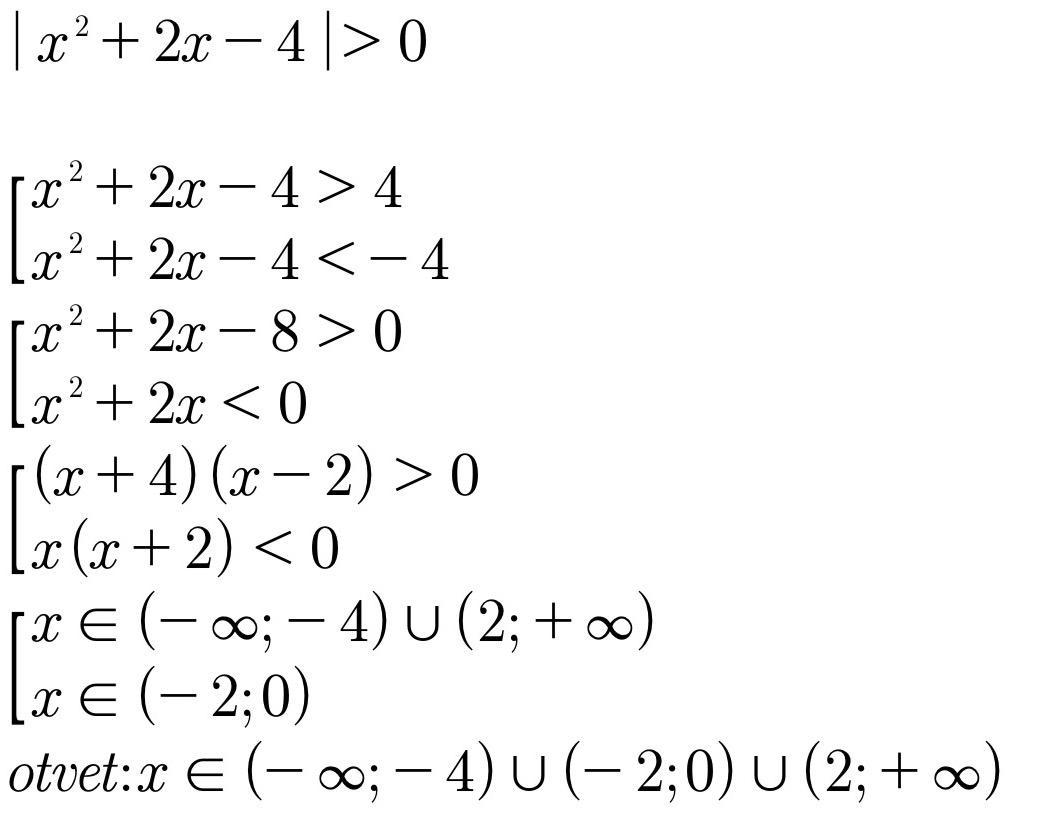
х∈(-∞;-4)∪(-2;0)∪(2;+∞)

Объяснение:

\left[\begin{array}{cc}x^{2}+2x-4<-4 \\x^{2}+2x-4> 4\end{array} \\\left[\begin{array}{cc}x^{2}+2x<0 \\x^{2}+2x-8> 0\end{array} \\\\\left[\begin{array}{cc}x(x+2)<0 \\(x+4)(x-2)> 0\end{array} \\\\

    +                 -           +

_______-2____0____  x∈(-2;0)

+                -                      +

__-4______________2______    x∈(-∞;-4)∪(2;+∞)

Ответ : х∈(-∞;-4)∪(-2;0)∪(2;+∞)

Вас заинтересует