• Предмет: Физика
  • Автор: ivanovyashka
  • Вопрос задан 3 года назад

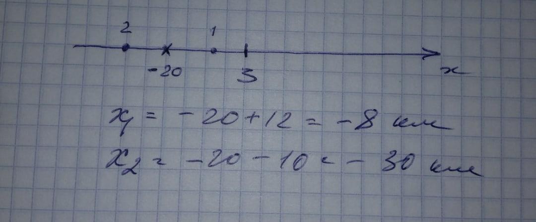
Два автомобиля двигались по прямой навстречу друг другу и встретились в 20-три км. к западу от заправочной станции. Через некоторое время t продолжая движение первый автомобиль переместился на 12 км к востоку от места встречи а второй автомобиль на 10 км к западу. Определите координаты каждого автомобиля относительно заправочной станции через время t. ​

Ответы

Ответ дал: Аноним
0

Ответ:

X1=-8

X2=-30

Объяснение:

Приложения:
Вас заинтересует