• Предмет: Алгебра
  • Автор: kristina8679
  • Вопрос задан 3 года назад

помогите с Алгеброй
даю 8 балов​

Приложения:

Ответы

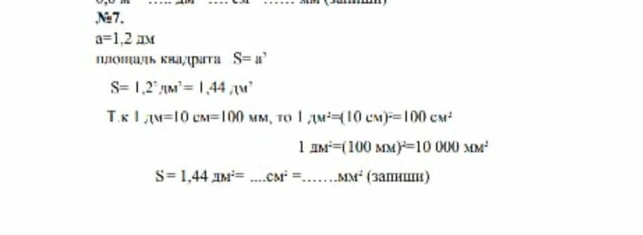
Ответ дал: cor1eone
1

Доброго времени суток. Решение во вложении.

Приложения:

kristina8679: благодарю
Вас заинтересует