• Предмет: Алгебра
  • Автор: Аноним
  • Вопрос задан 3 года назад

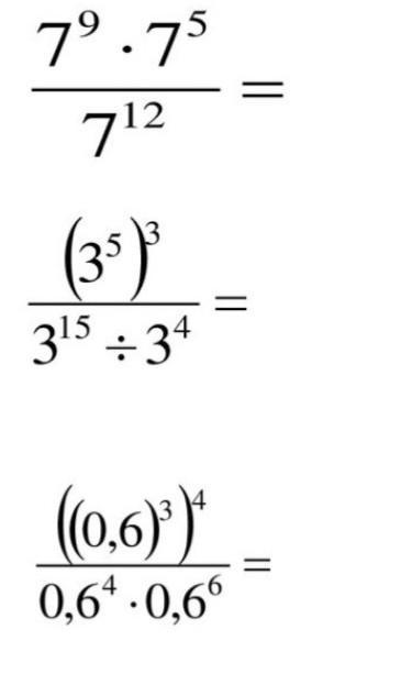
помогите решить буду очень благодарен​

Приложения:

Ответы

Ответ дал: alesyaperova
1

Ответ:

,

Объяснение:

решение на фото..........

Приложения:
Вас заинтересует