• Предмет: Математика
  • Автор: kostikovavarvara
  • Вопрос задан 3 года назад

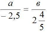
Зная, что (картинка), найдите выражение а/в

Приложения:

Ответы

Ответ дал: kedrovmisha00
1

Ответ:

\frac{a}{b}=-\frac{25}{28}

Пошаговое объяснение:

\frac{a}{-2,5}=\frac{b}{2,8} \Rightarrow 2,8a=-2,5b  \Rightarrow \frac{a}{b}=\frac{-2,5}{2,8}=-\frac{25}{28}

Вас заинтересует