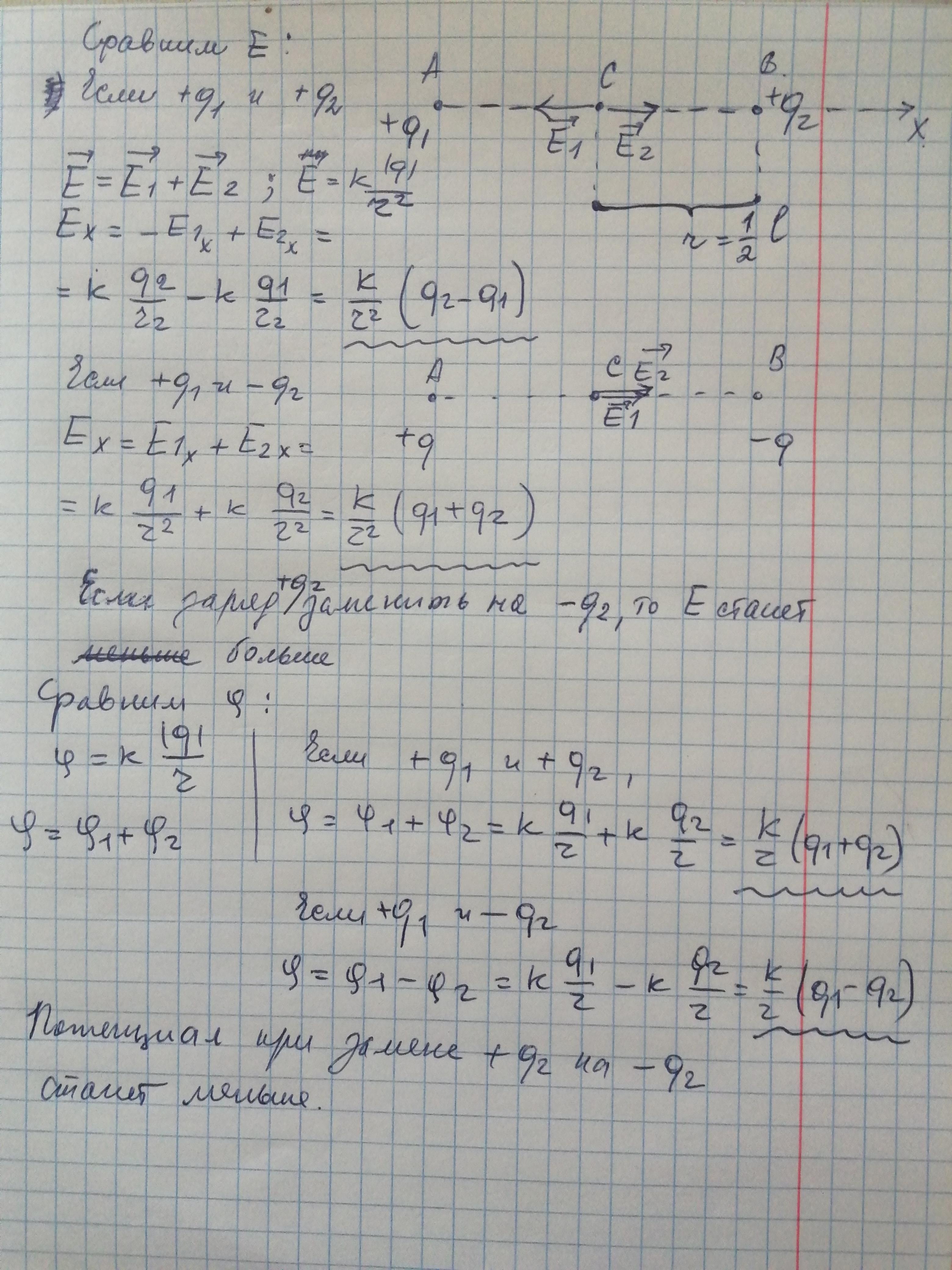
В точках А и В находятся два положительных точечных заряда q1 и q2. Точка С находится в середине отрезка АВ. Как изменятся напряженность и потенциал электрического поля в точке С, если положительный заряд q2 в точке В заменить на такой же по модулю отрицательный заряд.
Ответы
                                            Ответ дал: 
                                                                                    
                                        
                                            
                                                
                                                
                                                
                                                    0
                                                
                                            
                                        
                                    Ответ:ответ в прикреплённом файле
Объяснение:
Приложения:
                     
                            Вас заинтересует
                
                        2 года назад
                    
                
                        2 года назад
                    
                
                        2 года назад
                    
                
                        2 года назад
                    
                
                        7 лет назад
                    
                
                        7 лет назад