• Предмет: Алгебра
  • Автор: tilloevamira
  • Вопрос задан 3 года назад

помогите разложить на множители:
1) a^7+ a^5+ 2a^2+ 2;
2) m^3n^2+m+m^2n^3+n;
3) ax^2+ay-cy+bx^2-cx^2+by.​

Ответы

Ответ дал: dtnth
2

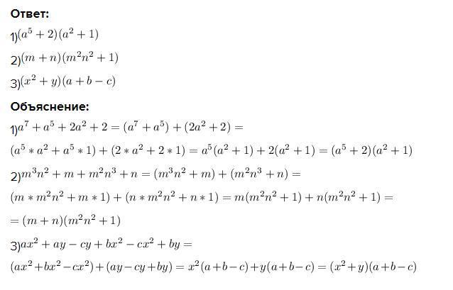
Ответ:

1)(a^5+2)(a^2+1)

2)(m+n)(m^2n^2+1)

3)(x^2+y)(a+b-c)

Объяснение:

1)a^7+a^5+2a^2+2=(a^7+a^5)+(2a^2+2)=

(a^5*a^2+a^5*1)+(2*a^2+2*1)=a^5(a^2+1)+2(a^2+1)=(a^5+2)(a^2+1)

2)m^3n^2+m+m^2n^3+n=(m^3n^2+m)+(m^2n^3+n)=

(m*m^2n^2+m*1)+(n*m^2n^2+n*1)=m(m^2n^2+1)+n(m^2n^2+1)=

=(m+n)(m^2n^2+1)

3)ax^2+ay-cy+bx^2-cx^2+by=

(ax^2+bx^2-cx^2)+(ay-cy+by)=x^2(a+b-c)+y(a+b-c)=(x^2+y)(a+b-c)

Приложения:

Miа16: прошу помогите https://znanija.com/task/38104790
Вас заинтересует